Thành phần
Tra cứu
Học viện
Báo cáo
Sự kiện
Login
or
Register
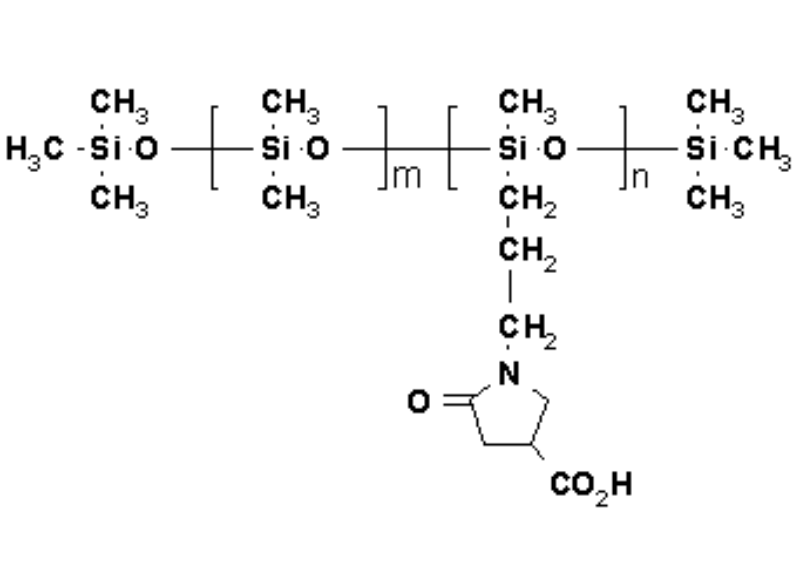
Pca Dimethicone
1
2
3
4
5
6
7
8
9
10
3
Hạn chế
Công dụng:
CHẤT TẠO MÀNG
Tóm tắt
Từ silicone, một hợp chất bán tổng hợp tạo ra từ silicon, carbon và oxy (qua quá trình nung nóng cát và carbon)
DANH MỤC
Thành phần
Chuyên mục
Phân tích chuyên sâu
Login
or
Register