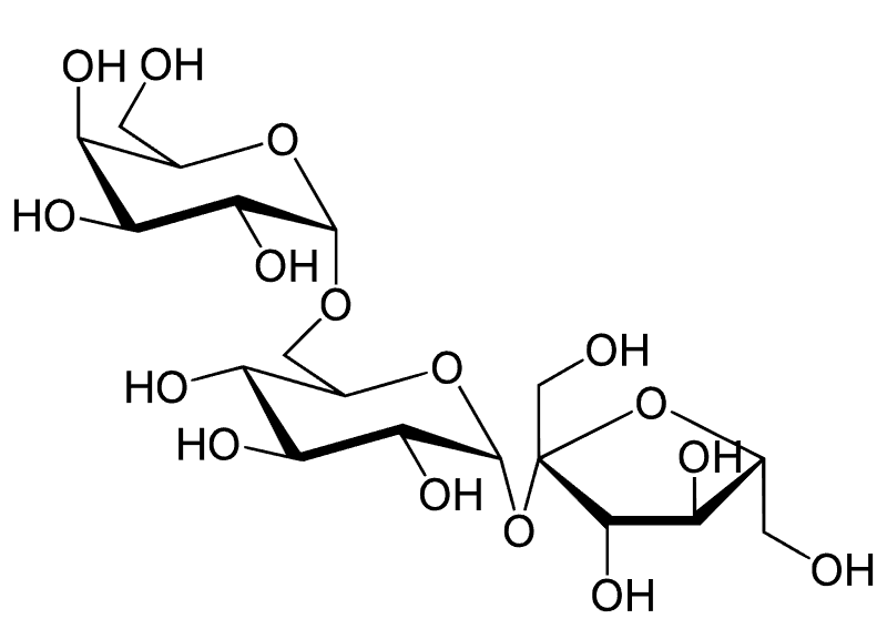
Raffinose

Raffinose

1 2 3 4 5 6 7 8 9 10
2 Tốt

CHẤT GIỮ ẨM

Tóm tắt

Là một loại đường phức hợp (trisaccharide) được tìm thấy tự nhiên trong các loại đậu (đậu nành, đậu gà), rau họ cải (bắp cải, bông cải xanh, cải Brussels), mật đường củ cải đường, ngũ cốc nguyên hạt, và hạt bông, có vai trò quan trò trọng trong việc dự trữ năng lượng and chống stress cho cây.

Tài liệu tham khảo

https://en.wikipedia.org/wiki/Raffinose https://pmc.ncbi.nlm.nih.gov/articles/PMC8891438/

DANH MỤC